Harmonic Frequency Scan
Harmonic Frequency Scan Analysis
Überblick
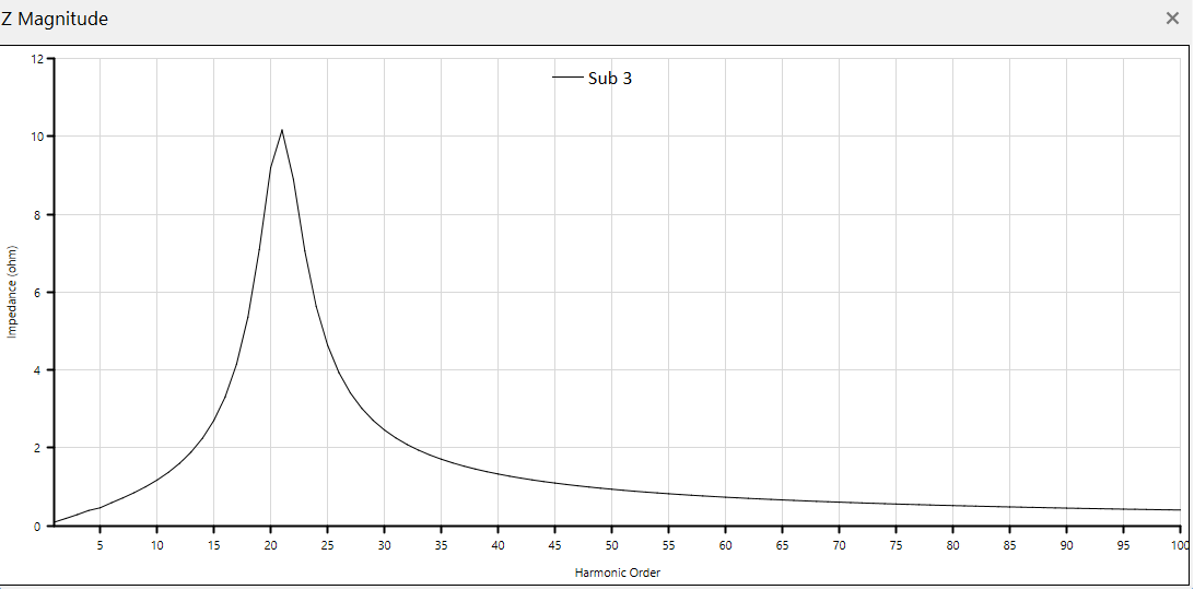
The ETAP Harmonic Frequency Scan module calculates and plots the magnitudes and phase angles of bus driving point impedance over a frequency range specified by the user.
This allows any parallel resonance condition and its resonance frequency to be clearly identified. The study also allows users to tune their harmonic filter parameters and test the final results. The frequency range for scanning is defined by the user, which starts from the fundamental frequency and can go as high as the user needs. The impedance of elements such as cables is user-definable over the range of the frequency scan to account for the effect of special cable physical constructions.
The results from the harmonic frequency scan study are reported in reports which includes the system input data, and a tabulation listing bus driving point impedances. The same tabulated information is also given on the one-line diagram, as well as in a plot format.
Harmonic Frequency Scan Software Key Features
- Identify resonance conditions
- Report resonance frequencies and magnitudes
- Same system and component modeling capabilities for harmonic load flow and fundamental load flow
- Built-in harmonic filters in different types
- Harmonic filter sizing to prevent harmonic amplification, over voltages due to resonance condition
- User-definable harmonic frequency scan range and step
- User-customizable plots
- User-definable cable impedance for all harmonic frequencies (designed for marine cable applications)
Benefits & Capabilities
- Slider bar to display bus driving point impedance magnitude and phase angle at selected frequencies
- Graphic plots of bus driving point impedance in ohms for viewing and printing
- Graphic plots of bus driving point impedance phase angle for viewing and printing
- Text report for input data, fundamental load flow results, tabulated bus driving point impedance magnitudes and phase angles
- Modeling of frequency dependency of rotary machine impedance
- Modeling of nonlinearity and frequency dependency of cable/line and transformer impedance and conductor skin effect
- Modeling of frequency dependency of other power system components and loads
- Considers machine and transformer winding connections and grounding types
- User-definable frequency range
Verwandte Lösungen
Lesen Sie über Lösungen, in denen dieses Produkt hervorgehoben wird.
Verwandte Pakete
Finden Sie ein Paketbündel, das dieses Produkt als Teil seiner Kollektion enthält.
Verwandte Branchen
Entdecken Sie, wie dieses Produkt in verschiedenen Branchen eingesetzt wird.
Verwandte Systeme
Erfahren Sie mehr über die Einsatzmöglichkeiten dieses Produkts in einem technischen System.
Referenzen
FAQs
Videos
Design & Operation of Power Systems with a Digital Twin Foundation
This webinar introduces an integrated model-driven approach for engineers and managers to design and operate power systems. ETAP’s Digital Twin Platform combines electrical, mechanical, and thermal properties with intelligent visualization for modeling, design, automation, and real-time predictive analysis. Learn how ETAP’s unique multi-dimensional database eliminates the need for hundreds of copies of the project file, by providing unlimited graphical presentations, configurations, data revisions, loadings, generations and operational values within the same project database. Moreover, ETAP unified platform allows simultaneous analysis of the network under various conditions.
Schulungen und Veranstaltungen

Schulungen und Veranstaltungen
Erhalten Sie einen vertieften Einblick in unsere Elektrotechnik-Software und fordern Sie eine für Sie passende Schulung an.
